報道発表資料
(公財)東京都医学総合研究所, 東京大学大学院理学系研究科, 保健医療局

全身32臓器を網羅した「マウス体内時計プロテオーム地図」を作成 次世代質量分析装置Orbitrap Astralで約1万9千タンパク質の時間変動を一挙解析

バナーの画像1

バナーの画像2

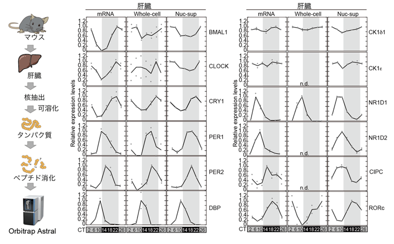
公益財団法人東京都医学総合研究所体内時計プロジェクトの乙部優太(おとべゆうた)研究員、吉種光(よしたねひかり)プロジェクトリーダー(東京大学大学院理学系研究科准教授兼任)らの研究グループは、次世代質量分析装置 Orbitrap Astral を用いて、マウス全身から32の臓器または脳領域におけるタンパク質量やリン酸化状態の24時間変動を高精度に解析し、「マウス概日時計プロテオームアトラス(Mouse Circadian Proteome Atlas)」を構築しました。解析の結果、32組織・584サンプルから合計18,956種類のタンパク質を同定し、UniProtに登録されているマウス全タンパク質の約74%をカバーする包括的な“体内時計地図”の作成に成功しました。

本研究のデータは、誰でもインターネット上で閲覧可能なホームページ「Mouse Circadian Proteome Atlas」(外部サイトへリンク)として公開されており、「いつ(When)、どこで(Where)、どのタンパク質が(Which)」働いているのかを調べるための基盤リソースとして、今後の体内時計研究や創薬研究への広範な活用が期待されます。

この研究成果は2026年1月10日午前1時00分(日本時間)に、米国Cell Press社の国際科学誌「Molecular Cell」のオンライン版に掲載されます。

論文名

原題 Mouse Circadian Proteome Atlas by next-generation deep proteome analysis

次世代深層プロテオーム解析によるマウス概日時計プロテオームアトラス

発表雑誌

Molecular Cell

DOI 10.1016/j.molcel.2025.12.020

ホームページ(外部サイトへリンク)

※詳細 別紙(PDF:1,336KB)

参考図

画像1
図1 本研究のイメージ図
画像2
図2 実験手法の概要
画像2
図3 マウス時計タンパク質量の概日リズムを網羅的に同定

 

記事ID:000-001-20260113-045361